首页
公司简介
产品展示
客户案例
新闻资讯
在线留言
人才招聘
联系我们
产品展示
PRODUCT DISPLAY
首页
>
产品展示
>
产品展示
产品展示
工艺流程
石墨电极指标
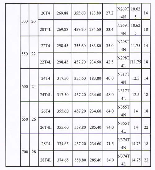
石墨电极接头
添加时间:2017-12-05
※ 详细描述 ※
< PREV
NEXT >